[page 596]
Index
The references are to paragraphs except where otherwise indicated
Aberdeen, Reading Standards in 2.23
Accent 10.5-10.6
Accommodation
for adult literacy tuition 19.12
for English in secondary schools 15.21-15.26, 16.9, 25.28, Table 79
for language work in nursery and infant schools 5.37, 5.41, 13.18
for school libraries 21.12, Table 80
in primary schools 13.18, 16.9
in teacher training 23.22
Adult Illiteracy Chapter 19
causes of 19.16
extent of the problem 2.1-2.4, 19.5
Adult Literacy Tuition Chapter 19
accommodation for 19.10, 19.12
employers, trade unions, and industrial training agencies 19.8
for immigrants 19.14
information and publicity 19.7, 19.12, 22.24
in USA 19.9; Note 6 to Chapter 19
need for national reference point 19.15
provision for 19.5-19.12, 19.15
the role of the LEA 19.8-19.13
television programmes 19.12, 22.24
training for tutors 19.13
voluntary schemes 19.8-19.13
Adults in the Classroom
involvement of additional adults 5.32-5.41, 13.18-13.19
Advanced Courses for Teachers in Language and Reading 24.14
Advertisements 8.16, 8.17, 8.18
Advisers (see LEA Advisory Services)
Advisory Committee on Children with Specific Reading Difficulties 17.5, 18.18
Advisory Councils for Further Education 19.15
Advisory Teachers in English 16.6
Aides, Teachers'
involvement in children's language development 5.32-5.36
language element in training 5.33-5.34
Ancillary Help
in secondary school English departments 15.19-15.20, 25.28
in teacher training 23.22
Antenatal Clinics
advice on language development in young children 5.14, 22.21
Army School of Preliminary Education 19.8
Arnold, Matthew (quoted) 9.22
Assessment (see also Standards, Diagnosis and Recording) of reading standards,
local 2.21-2.23, 2.26, 2.28, 17.6, 17.26-17.33, Tables 15-17
national 2.11-2.29, Tables 1-4, Diagrams 1-8
of pupils'writing 11.10-11.12
use of tests in school 17.13, 17.15-17.17, 17.22
Assignment Cards and Worksheets 10.10, 10.22, 11.20, 13.12, 13.13, 15.8
Association for the Education of Pupils from Overseas (ATEPO) Tables 29 and 74
Association of Education Committees Recommended Book Expenditure 21.18-21.19, 21.21-21.22, 21.27 Tables 18 and 19
Association of Teachers of Speech and Drama Table 74
'At Risk' Children 17.2, 17.4, 17.11-17.12, 17.34, 17.36, 18.4 (see also Screening)
ATO-DES Courses 24.10
Attainment, Standards of (see Standards)
'Audience' for Pupils' Writing 11.9
Audio-Visual Aids Chapter 22 (see Technological Aids)
Auditory Perception and Discrimination 6.12-6.17, 7.10, 18.5
Backwardness Chapter 18 (see Reading Retardation)
Backwash Effects of Tests 3.5
Barker Lunn J 14.3
Barnes D 10.2
'Basic Skills' 1.8, 1.10, 13.4, 13.7, 13.9, 13.12
Bereiter C and Engelmann S 5.25
Bernstein B 5.6, 5.27
Bilingualism 20.17
Blank M and Solomon F 5.24
Bloomfield L 6.38
Bookbinder GE 2.26
Book Clubs, Children's 7.6, 14.6
'Book Rooms' 21.4
Books Chapter 21
advice to parents 7.2-7.5, 21.4
continuity of availability through middle years 21.11
exhibitions at teachers' centres and in colleges 21.4, 23.8
for pre-school children 7.2-7.5, 9.10
in a multi-racial society 20.5
[page 597]
numbers of books children read 2.5 2.6, 9.4, 9.9
promotion of children's interest in 9.7-9.8
provision and expenditure 7.4, 7.25, 9.6-9.9, 15.11, 21.2, 21.17-21.27, Tables 35, 46, 81, and Diagram 12
pupils' preferences 9.3, 9.9
record of stock 15.20, 21.6
sale in schools 7.5, 14.6, 25.19, 25.28
school purchasing policy 9.9, 21.3, 21.17
teachers' knowledge of 9.6, 9.9, 9.18, 9.20, 9.25, 16.9, 21.3-21.5
teacher with responsibility for 21.3, 21.5, 25.19
Breakthrough to Literacy 7.14, 25.18, Tables 32 and 33
Brimer MA 7.26
British Association of Settlements 19.5
British Broadcasting Corporation 19.12, 22.4, 22.15, 22.16, 22.19, 22.24
British Film Institute 22.8
Buildings (see Accommodation)
Burnham Committee 15.19, 25.17(i)
Burt Sir Cyril 17.16, 18.5, 18.8, 18.19
Cambridge House Literacy Scheme 19.8
Capitation Allowances 21.3, 21.18 21.27, Tables 18, 19 and 20
Careers Service
information for adult illiterates 19.7
'Ceiling Effect' of Tests 2.15, 2.19, 2.31-2.34, 3.15, Diagrams 1-4
Central Statistical Office 1.2
Centres
at Reading University 24.15
in colleges of education 16.8, 23.22, 24.15-24.16
Language/Reading 24.15-24.17
National Centre for Language in Education 24.18
reading centres and clinics 18.18
professional 23.1, 24.1 -24.2, 24.17
Teachers' 7.3, 10.22, 16.8, 16.9, 21.4, 21.5, 21.9, 22.3, 22.11, 24.1524.16, 25.17(ii), 25.26(111), Table 27
Chartered Institute of Public Finance and Accountancy 21.19
Chartered Librarians in Schools 21.12, 21.14
Checklists
for language work in the middle and secondary years 11.21
for language work with young children 5.27-5.29
for use in screening and diagnosis 17.3, 17.6, 17.8-17.9, 17.21, 17.34
Child Minders 13.2, 20.14
Children's Librarians
and pre-school children 7.3
cooperation with teachers 21.8-21.10
Chomsky N 4.6, 10.36
Churchill Sir Winston (quoted) 11.16
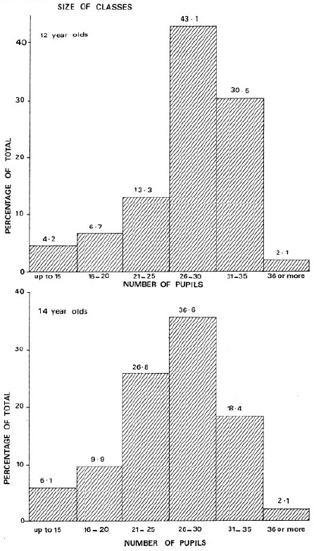
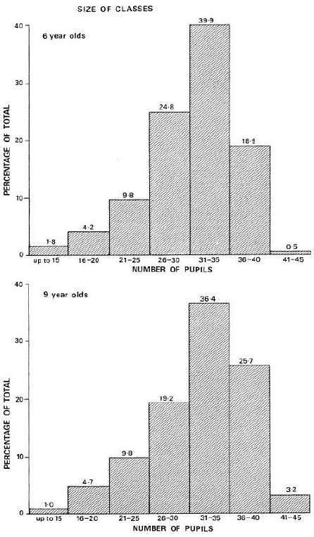
Class Size 13.16-13.17, 13.19-13.21, 25.30(iii), Tables 50, 65 and 85, Diagrams 13 and 14
Classroom Control 12.9, 15.11, 15.27
Clerical Assistance in Secondary School English Departments 15.20
Cloze Procedure 6.37, 8.4
CNAA Degrees 21.14
Colleges of Education (see also Teacher Education and Training and In-Service Education)
accommodation and resources 23.22
cooperation with schools 23.8-23.9
language and reading in 23.2-23.7, 23.10-23.12, 23.25
language competence of students 1.3, 23.23
language/reading centres in 16.8, 23.22, 24.15-24.16
teacher/tutor appointments 23.9
technological aids in 23.3
Collins JE 18.10
Colour Coding (see Cueing Techniques in Reading)
Community Relations Commission 20.4
Community Relations Councils 19.14, 20.8
Community Service Volunteers 14.15
Comprehension Skills 6.6, 6.39-6.44, 7.13, 8.8, 8.14-8.18, Tables 56, 93, 94, 96 and 97
Context Cues in Reading 7.22-7.23, 17.18
Continuity Between Schools Chapter 14
contacts between pupils 14.14-14.15
contacts between teachers 14.3, 14.7, 14.13
continuity of approach and joint planning 7.28, 14.2, 14.6, 14.12, 15.1, 24.3
exchange of information and records 14.4-14.5, 14.8-14.11, 17.12
exchange of teachers 14.1, 14.13
joint activities 14.7
joint use of resources 10.23, 22.3
in experience of books 21.11
in organisation 13.13
Copyright 10.28, 21.15, 22.18
Correction of Written Work 11.10-11.11, 11.12, Tables 92, 96 and 97
Council for Educational Technology
Primary Extension Project 22.5
Working Party on Copyright 22.18
Counselling 18.15, 19.2, 19.7, 19.11, 19.12
Creative Writing 1.8, 11.3-11.5
Creole 20.6, 20.8-20.9, 20.12
Criteria for Success in English 11.37
Cross-Age Tutoring 14.14-14.15
CSE English: An Interim Report 11.37
[page 598]
The CSE: Some Suggestions for Teachers And Examiners 11.35
CSE (see Examinations)
Cueing Techniques in Reading 6.22, 7.26, 7.29, 25.18(ii)
Curriculum
curriculum development and book purchase 21.17, 21.26
in the primary school 13.4, 13.13-13.14
language across the curriculum 12.2-12.12, 14.13, 15.31, 16.9
reading and the curriculum 6.44, 8.9-8.20, 12.7, 15.8, 16.9
relationship with audio-visual aids 22.1-22.12
Daniels JC and Diack H 6.17, 6.25
Dartmouth Seminar 9.1
Day Lewis C (quoted) 9.13
Day Nurseries 13.2
Department of Education and Science 2.11, 20.2, 21.4, 21.25, 21.27, 24.7, 24.8, 24.10, 25.30
Diacritical Marks (see Cueing Techniques in Reading)
Diagnosis and Diagnostic Teaching 7.31, 10.30, 17.15-17.36, 18.5, 18.11, 18.18, 17.22-17.23 (see also Screening and Recording)
cloze procedure 6.37, 8.4
cooperation between teachers and educational psychologists 17.9, 17.23-17.25, 25.20
diagnostic and attainment tests 14.2, 17.13, 17.15-17.17, 17.22, 17.34-17.36
the diagnostic teaching of reading 7.25, 7.31-7.32, 17.20-17.21
hearing children read 7.31, 17.17-17.18, 25.18(iv), 25.20, Tables 7, 14 and 34
informal reading inventories 14.10, 17.17-17.20
in-service education for 17.22, 17.24, 17.34-17.36, 24.7, 24.14
recording of errors and progress 13.10, 14.4, 14.8, 14.10, 17.12, 17.21, 25.20, Table 9
teachers' knowledge of tests 17.16, 17.22
Dialogue, Classroom 1.11, 5.35-5.36, 10.2-10.4, 10.11-10.18 (see also Oral Language)
Diploma in Higher Education 23.19-23.20
Disadvantage 5.4-5.9, 5.35, 13.9-13.21, 17.4, 17.12, 18.8, 18.19
Discipline and Control, Classroom 12.9, 15.11, 15.27
Discourse Analysis 10.3, 10.11
Douglas JWB 18.8
Downing J 2.3, 7.29
Drama 10.31-10.42, 15.9
accommodation in secondary schools 15.24, 25.32
and language development 10.31 10.42
DES Survey 1968 10.37
extent in schools 10.36, 10.40, 25.31, Tables 5, 51, 96 and 97
in examinations 10.40
relationship with English 10.38 10.39, 10.41, 15.9, 25.25(iii)
staffing in secondary schools 10.39, 15.9 Dyslexia 18.5, 18.18
Education: A Framework For Expansion 13.1, 23.1, 23.9, 24.1
Education Committees Year Book 16.1
Educational Broadcasting 22.13-22.24 (see also Radio and Television)
and teacher training 22.4
BBC 22.4, 22.15-22.16
finance 22.19-22.21, 22.23
IBA 22.4, 22.15, 22.19-22.20
programmes for pre-school children 5.19-5.20, 22.21-22.22
research and evaluation 22.16, 22.19, 22.22-22.23
Sesame Street 22.22-22.23
statistics 22.15
The Electric Company 22.22-22.23
Educational Priority 2.24, 18.12
Educational Priority Areas (EPAs)
attainment in 2.24, 11.48
home visiting 5.17-5.18, 5.42, 20.16
parental involvement in schools 5.37, 5.39-5.40
reading problems 13.19-13.21, 18.8
selective monitoring in 3.22
study of achievement of immigrant children 20.4
Educational Psychologists 16.9, 17.8 17.9, 17.11, 17.18, 17.23, 17.34-17.36, 18.18, 25.20
Educational Publishers' Council 21.19
Education Statistics 21.19
Educational Welfare Officer 17.23
Elaborated Code 5.6, 5.9
The Electric Company 22.22-22.23
Eliot TS (quoted) 9.16, 9.23
Emotional Disorders, Effect on Attainment 13.20, 18.7
Employment, Changed Patterns of 1.2
Employment Service
information for adult illiterates 19.7
English Advisers (see LEA Advisory Services)
English as a Second Language 20.9-20.14
English Department
accommodation and facilities 15.2015.26, 25.28, Table 12
[page 599]
ancillary help for 15.20
and the development of reading ability 15.8
consultation among members 15.3, 15.5, 15.11, 15.13, 15.14, 15.28, 15.30, 24.6
departmental headquarters 15.23, 15.25
head of department 12.12, 15.4-15.5, 15.13, 15.14, 15.17-15.20, 15.28, 15.30, 24.6
in-service education within 24.6
'instrument of policy' 15.5, 15.28 15.30
staffing ratio and above-scale posts 15.19, 25.26(1)
English Examined: A Survey Of O Level Papers 11.37
English Speaking Board 10.25
English Teaching (see also English Department, Language, Writing, Oral Language, Literature, Poetry, Reading, Books, Audio-Visual Aids, Resources, Examinations)
accommodation and facilities for 15.20-15.26, 16.19, 25.28, Table 12
as a specialist subject 15.1-15.2, 15.5-15.7, 25.10, 25.25
in mixed-ability groups 15.10-15.12, 25.25, Diagram 10, Note of Dissent by Mr Stuart Froome
in the USA 1.5, 1.7, 8, 6-8.7, 9.2, 11.26
qualifications of teachers 1.11, 15.2, 15.13-15.14, 25.26(ii), 25.27
reprographic facilities for 22.11
specialist and non-specialist teachers 1.11, 2.30, 9.18, 15.2-15.3, 15.13-15.14, 25.26(i), Tables 11, 77 and 78, Diagram 11
support of head of school for 15.15-15.17, 15.21, 15.31
support of LEA English advisory team 15.26, Chapter 16, 24.6
time allocated to English teaching in secondary schools 25.25, 25.31, Tables 96 and 97
timetabling of 1.11, 15.2, 15.15-15.16, 25.25(vii), Tables 66, 96 and 97
use of audio-visual aids in Chapter 22, Table 82
use of film in 9.17, 15.24, 22.8-22.10
use of part-time teachers 15.13
varying emphases in 1.4-1.10, 13.4, 25.12, Note of Extension by Professor J. N. Button
within integrated studies 1.11, 9.16, 9.18, 15.1-15.7, 25.10, 25.25, Table 64
Examinations
a post-O level language paper 11.40
book demands of 21.17
in drama 10.40
in literature 9.12-9.15, 9.23-9.24
in spoken English 10.25-10.29
in written English 11.30-11.40
Examinations Bulletin No. 1 11.36
Examinations Bulletin No. 12 3.10
The Examining Of English Language 11.31-11.37, 11.40
Exercises in Language 1.10, 11.19-11.20, 25.22, 25.31
Expectations
of parents 7.1
of teachers 7.8, 14.5, 14.12-14.13, 10.1, 17.4, 18.6
'Expressive' Writing 5.23, 11.6-11.7, 12.6
Failure, Concept of 18.3
Fairy Tale and Fantasy 9.10, 10.36
Family Size
and language development 5.35
and reading attainment 13.20
Federation of Children's Book Groups 7.3
Fiction (see Literature)
Film in English Teaching 9.17, 15.24, 22.8-22.10, Tables 36, 37 and 82
Finland, Literacy in 2.3, 6.21
Flexible Reading Strategies 6.42
Fries CC 6.4, 6.38
From Birth To Seven 17.11
'Frustration Level' in Reading 7.13, 7.32, 17.17-17.20
Fry E 7.26
Functional Literacy 2.2
The Futility Of The Spelling Grind 11.44
Gahagan DM and Gahagan GA 5.27
GCE (see Examinations)
Germany, Literacy in 2.3
Goodacre E 17.7, 25.20
Goodman K 6.4
Grammar 11.15-11.18, 11.32 (see also Language)
structural and transformational grammar 11.26
Grapheme - Phoneme Relationships 6.16-6.26, 6.38, 7.22, 7.24, 7.27, 25.18(ii)
Gray WS 2.2, 6.4, 6.6
Hadow Reports 11.3, 14.1
Halliday MAK 11.27
Handwriting 11.50-11.55, 20.11, 25.22, Table 59
Heads of English Department (see English Department)
Heads of Schools
and a policy for language across the curriculum 12.11-12.12
their role in in-service education 24.5
their role in the teaching of English
[page 600]
15.15-15.17, 15.21, 15.31
their role in reading and language development 13.24, 20.12, 21.9
Health Visitor 5.14, 17.10
Hearing 7.10, 17.4, 17.10
'Hidden Agenda' 10.4
Himmelweit Hilde T 2.5
HM Inspectorate
observations on reading in the infant school 2.26
role in ATO-DES courses 24.10
role in proposed monitoring procedure 3.16
Home Background
effect on language development 5.4-5.9, 5.35
effect on reading attainment 2.22-2.25, 13.20-13.21, 18.5, 18.8
influence upon reading habits 9.4
Home Visiting
for help with young children's language development 5.15-5.18
home liaison teachers 5.42, 13.19
in immigrant communities 20.16
in the USA 5.16
Homework 25.25(vii), Table 69
Humanities Curriculum Project 10.16-10.18
Huxley Aldous 9.13
Illiteracy 2.1-2.4, Chapter 19
Immigrants (see Overseas Origin, Children from Families of)
Impression Marking of Scripts 3.8, 3.24
Independent Broadcasting Authority 22.4, 22.15, 22.19-22.24
'Independent Level' in Reading 17.17-17.20
Induction Year 16.8, 24.1-24.3
Infant School (see also Language and Reading)
accommodation 5.37, 5.41, 13.18
contacts with home 7.4-7.5, 13.3
contacts with nursery and play-groups 13.3
cooperation with junior schools 14.1-14.6
needs of immigrant children 20.14
organisational aspects 13.4-13.11
six-term infants 14.2-14.4, 18.4
staffing of 5.32-5.33, 5.42-5.43, 7.16, 13.16-13.17, 13.19, 25.17(i)
staggered admission to 13.3
supply of books for 7.4, 7.25
use of audio-visual aids and television 22.6-22.7, 22.13, 22.15, 22.17, 22.21-22.23
use of language programmes 5.29-5.31
Informal Reading Inventory 14.10, 14.14.17.19-17.20, 17.24
Initial Teaching Alphabet (i.t.a.) 6.20-6.22, 7.27-7.29, 14.2, 14.6, 25.18(ii), Tables 32 and 33
Inner London Education Authority
Literacy Surveys 1968 and 1971 2.22, 2.28, 23.20, 18.4, 20.4
Innovation 13.12, 15.12, 24.5
In-Service Education Chapter 24
and the needs of immigrant pupils 20.6, 20.9, 20.13, 20.15, Table 73
ATO-DES courses 24.10, 24.14, 24.17
attendance at English courses 25.17(iii), 25.30, Table 73
diploma and degree courses 24.11-24.12
for teachers with responsibility for language 13.23, 24.14
in language centres and professional centres 24.15-24.17
in screening and diagnosis 17.22, 17.24, 17.34-17.36, 24.7
in teachers'centres 23.8, 24.15, 25.17(ii), 25.26(iii), Tables 27 and 28
in use of audio-visual aids and broadcasting 22.4, 22.12
language 1.11, 5.13, 5.43, 10.29, 24.3, Table 73
problems of small schools 13.24, 24.5
reading 24.7-24.8, 25.21 (iv). Table 73
role of head 13.24, 24.5
role of LEA advisory team 16.8
school-based 13.24, 15.17, 24.5
types of course 24.4, 24.7-24.14, 25.17(iii, 25.26(iii), Table 21
Institute of Race Relations 20.5
'Instructional Level' in Reading 17.7-17.20
'Integrated Day' 13.6-13.12
Integrated Studies, English in 1.11, 9.18, 15.1-15.4, 25.10, 25.25, Table 64
Intelligence
and reading ability 18.2, 18.5-18.6
and reading readiness 7.7-7.8
Intermediate Reading Skills 6.27-6.38, 7.16
Isle of Wight Study 18.4, 18.5, 18.7
Item Pooling in Monitoring 3.5, 3.8, 3.12, 3.15-3.18
James Report (Teacher Education And Training 1972) 23.1, 24.1
Japan, Literacy and Instruction in Reading 2.3, 6.21, 7.27
Jenkinson AJ 9.19
Johnson H 7.26
Junior School (see Primary School)
Kellmer Pringle ML Reference 1 to Chapter 18
Ker WP (quoted) 9.3
Kitzhaber A (quoted) 1.5
[page 601]
Labov W 5.9, 10.5
Language
Language, General
distinction between 'use' and 'study' of language 11.1
language across the curriculum 10.11, 12.1-12.11, 14.13, 15.31, 16.9, 24.3, 24.6, 24.14, 24.15
language and linguistics 11.26 11.29, 11.40
language centres 23.22, 24.15-24.17
language development through drama 10.31-10.42
'Language in Use' programme 11.27-11.29
language used by teachers 10.2 10.4, 10.9, 12.9, 24.3
oral and written language: the differences 10.7-10.8, 10.35
relationship of language and learning 1.9, Chapter 4, 5.22, 10.4, 12.2, 24.3
role of LEA advisers 16.9
teachers' knowledge of language 1.11, 5.13, 10.4-10.6, 10.9, 10.29, 11.29
Language Development in Young Children
accommodation for 5.37, 13.18
and home background 5.4-5.9, 5.35
appraisal and recording of children's development 5.30-5.32
effect of radio and television on 2.8-2.9, 5.20
handwriting 11.50-11.55, Table 59
immigrant children in the nursery and infant school 20.14-20.15
language development programmes in infant schools 5.24-5.32
language games 5.27-5.29
language in the pre-school years 5.1-5.20, 5.38-5.39, 13.1-13.3, 16.9
parental involvement 5.4, 5.7, 5.10-5.11, 5.15, 5.37
the process of acquisition 5.2
role of antenatal clinics 5.14
role of nursery nurses and aides 5.32-5.35
role of teachers 1.10, 5.13, 5.30-5.31
study in secondary schools 5.11-5.13
talk and the beginnings of writing in the infant school 5.21-5.23
television programmes for parents and children 5.19-5.20, 22.21-22.23
variations in pre-school experience 13.1-13.3
Language in the Middle and Secondary School Oral Language
Chapter 10 Tables 50, 91, 96 and 97
accent and 'correctness' 10.5-10.6
class discussion 10.3, 10.12, 12.5, 25.31, Tables 96 and 97
continuity of development 10.24
dialogue in the classroom 10.2 10.4, 10.10-10.18, 12.5, Diagram 9
discourse analysis 10.3
drama 10.31-10.42
examinations in 10.25-10.28
exploratory talk and group discussion 10.1, 10.2, 10.12, 10.16, 10.29, 12.5, 13.14-13.15, 25.31, Tables 96 and 97
listening 10.19-10.23
monitoring attainment in 3.13
objectives 10.27-10.28
paralinguistic features 10.7, 10.9
register 10.36
the teacher's knowledge of pupils' language 10.5-10.9
teacher's role in improving oral language 10.10-10.11, 10.21, 10.29, 13.14
the teacher's use of language 10.1 10.4, 10.9, 12.9
transition from primary to secondary school 10.1, 12.4
use of assignment cards and worksheets 10.10, 10.21, 13.12, 13.14
use of technological aids 10.12, 10.22-10.23, 22.10, Tables 36, 37, 62 and 82
Written Language Chapter 11 (see also Writing)
examinations in 11.27-11.40
exercises in 11.18-11.20
extent of language study in school 11.20, 25.31, Tables 57, 91, 93, 94, 96 and 97, Diagram 16
need for explicit instruction 11.21
objectives in language progress 11.22-11.23, 11.25
a policy for improving pupils' language ability 11.21-11.25, 11.29, 13.13-13.15
prescriptive attitudes to 11.16-11.17
use of assignment cards and worksheets 11.20
writing 11.2-11.11, 12.6, 25.21(vi), Tables 47, 52, 91, 96 and 97
Language Centres 23.22, 24.15-24.17
Language in Teacher Training 1.11, 5.29, Chapter 23, Chapter 24
Latham W 7.29
Lawrence DH (quoted) 9.22
'Learning Sets' 2.28, 6.7, 6.9, 6.28, 6.32, 7.21
Leavis FR 1.6
Lewis CS (quoted) 9.2
Library Association
catalogue of books for the multi-racial classroom 20.5
[page 602]
recommendations on staffing of school libraries 21.13
Teacher-Librarians' Certificate 21.13
Library, School Chapter 21 (see also Books, School Library Service)
accommodation 21.12, Table 80
numbers of books 21.18, 25.28(ii), Table 81, Diagram 12
staffing 21.3, 21.5, 21.12-21.14
Light Sampling in Surveys 3.5, 3.11, 3.14, 3.19-3.21
Linguistics (see Language, General)
Listening 3.13, 10.19-10.21, 10.24
Literacy (see also Reading Standards, Standards of English)
comparisons between countries 2.3, 6.21
definitions of 2.1-2.2, 3.3
Literature Chapter 9 (see also Books, Poetry)
and dramatic work 10.33
anthologies 9.16, 9.23, 9.25
the books children read 9.3-9.4, 9.9
class reading and individual reading 9.12-9.15, 9.19-9.21, Tables 96 and 97
critical analysis of 9.12-9.13, 9.15, 9.21, 9.23-9.24
discernment and discrimination 9.12-9.13, 9.15
in American schools 9.1
in examinations 9.13-9.14, 9.17, 9.23, 9.24
in the early years 9.10
methods of extending pupils' voluntary reading 9.7-9.9
records of pupils' reading 9.5, 9.20, 13.10, Table 9
relationship of fiction and non-fiction books 9.6, 9.9, 21.17
teachers' knowledge of 9.6, 9.9, 9.18, 9.20, 9.25, 16.9, 21.3-21.5
thematic work 9.16-9.18, 10.17, 15.4, 15.6, Tables 96 and 97
values of 9.1-9.3, 10.15
varying approaches to teaching 9.12-9.16
Local Education Authority (see also Adult Literacy Tuition, Audio-Visual Aids, Books, Children from Families of Overseas Origin, In-Service Education, Screening)
Advisory Services, Chapter 16
appointment of English advisers 16.1-16.2, 16.5, 24.14, Table 13
appointment of English advisory teachers 16.6, 24.11, 24.14
constitution of English advisory team 16.3-16.7, 16.10
primary and secondary advisers 16.3-16.6
role of English advisory team 7.4, 13.23, 15.26, 16.2, 16.8-16.9, 17.11, 17.22, 18.18, 21.10, 21.22, 22.12, 24.5, 24.6, 24.15, 24.16
specialist adviser for children of overseas parentage 16.3, 16.7, 20.13
specialist adviser for children with learning difficulties 16.3, 18.18
Assessment of Reading - findings of the inquiry 17.2, 17.26-17.33, Tables 15-17
Language/Reading Centres and Reading Clinics 24.15-24.17, 18.18
Staffing of Schools
English departments in secondary schools 15.13, 15.18-15.19, Tables 11, 77 and 78, Diagram 11
in areas of social disadvantage 13.19-13.21
in infant schools 5.43, 13.16-13.17, 13.19, 25.17(i)
in primary schools 13.16-13.17, 25.17(i), Tables 26, 60 and 61
teacher with responsibility for language in primary schools 13.22-13.23
Local Radio 7.2, 19.7, 22.13, 22.16
Malmquist E 2.25
Marking of Written Work 11.10-11.12, 13.10, Table 9
Media Resources Officers 22.3
Medical Information 17.10, 17.23
Middle Years
development of language in 10.10-10.11, 11.15-11.26
development of reading in 8.1
the growth to specialisation 13.13-13.14
organisational aspects 13.11-13.15
teacher with responsibility for reading and language 13.23
Ministry of Education 2.1, 2.11, 11.50
Mixed Ability Grouping 15.10-15.12, 21.17, 25.25(vi), Diagram 10, Note of Dissent by Mr Stuart Froome
Mobility
of pupils 17.12
of teachers 13.4, 15.13, 17.12, 17.13, 18.9, 20.9
Modular Structure in Teacher Training Courses 23.7, 23.10
Monitoring of Standards Chapter 3
age points for 3.6-3.7
of reading 3.8
of spoken English 3.13
of writing 3.9-3.12
organisation of 3.5, 3.14-3.24
preparatory research for 3.25
Morphemic Structure 6.24
Morris J 2.26, 2.28, 13.24
Moyle D 2.2
Muller H 1.5
Multiracial Society (see Overseas Origin, Children from Families of)
[page 603]
National Association for Remedial Education (NARE) 19.4
National Association for the Teaching of English (NATE) 5.13, 5.16, 12.10, 16.5, Tables 29 and 74
National Book League 21.4
National Centre for Language in Education 24.18
National Child Development Study 2.24, 2.26-2.27, 13.20, 17.11, 18.4, 18.8
National Council of Teachers of English, USA (NCTE) 1.5
National Foundation for Educational Research (NFER) (see also Reading Standards)
and monitoring 3.5
A Pattern of Disadvantage 13.17
English tests for immigrant pupils 20.2
national surveys of reading 2.10-2.23, 2.27, 2.29, 2.31-2.34, 3.1, 3.8, Tables 1-4, Diagrams 5-8
Pre-School Project 5.26
National Nursery Examination Board 5.33
National Survey Form 6 (NS6 Test) 2.13-2.20, 2.22, 2.27, 2.29, 2.31-2.34, 3.8, Tables 2 and 4, Diagrams 7 and 8
New Zealand Council for Research in Education 11.46
Newbolt Report (The Teaching Of English In England) 1.2, 11.32, 11.36, 11.38
Newsom Report (Half Our Future) 9.1, 18.9, 22.14
Nisbet SD 11.48
Non-Fiction (see Literature)
Northern Universities Joint Matriculation Board 11.34
Note-Taking 6.40, 8.10, 8.19, 12.8
Nottingham University School of Education 11.23, 24.4, 24.11
Nursery Education (see also Pre-School Children)
audio-visual aids in 22.5, 22.17
for children of overseas parentage 20.14-20.15
language development 5.21
role and training of nursery nurses and aides 5.15, 5.32-5.36
role of nursery teacher 5.14
television programmes for 22.21-22.22
Open University 24.13, 24.14
Oral English (see Language)
Overseas Origin, Children from Families of Chapter 20
adult literacy tuition 19.14
assessment of need by LEAs 20.2, 20.4, 20.13
bilingualism 20.17
books in school 20.5
consultation between schools and parents, and home-visiting 20.8, 20.15 20.16
language help across the curriculum 20.12
language needs of children of Asian origin 20.6, 20.9-20.12
language needs of children of West Indian origin 20.6-20.8
LEA adviser 16.3, 16.7, 20.13
nursery and infant school children 20.14-20.15
second-stage language learning 20.11-20.12
staffing implications 20.9-20.12
standards of attainment 20.4-20.5
teachers' knowledge of language forms and cultural background 20.3, 20.6, 20.8
teacher training and in-service education 20.5-20.6, 20.9, 20.12, 20.15
Paradise Lost 9.23
Paralinguistic Features 10.7, 10.9
Parenthood Courses in Secondary Schools 5.11
Parents
involvement in children's early reading 6.13-6.15, 7.1-7.6, 7.16, 18.12
involvement in children's language development 5.4, 5.7, 5.10-5.11, 5.15, 5.37
involvement in school 5.37-5.40, 14.2
radio and television programmes for 7.2, 22.21
Parliamentary Select Committee on Race Relations and Immigration 20.9
Participant Language 5.13, 11.6
Part-Time Teachers 15.13, 18.13, 25.16(iii), 25.21(iv), Table 26
Pattern Of Disadvantage, A 13.17
Peabody Language Development Kit 5.26
Peaker GF 2.11
Peripatetic Teachers 17.36, 18.13, 25.16(iii), 25.21(iv), 25.23, Table 61
Peters M 11.48
Phoneme-Grapheme Relationships 6.16-6.26, 6.38, 7.22, 7.24, 7.27, 25.18(ii)
Phoneme Sequences 6.31
Phonics (see Reading, Teaching of)
Playgroups 5.11, 5.21, 13.1-13.2
Plowden Report 2.25, 5.4, 5.33, 5.37, 14.1, 18.8, 18.9
'Poetic' Writing 11.6-11.7
Poetry 9.15, 9.21-9.27, Tables 48, 96 and 97
Postgraduate Certificate of Education 23.13-23.18
Poverty, Psychological effect on achievement 18.8
Pre-Reading Activities 7.11-7.21
[page 604]
Pre-School Children (see also Nursery Education, Parents and Language)
books for 7.2-7.5, 9.10
home visiting 5.15-5.18
information for screening purposes 17.10
language growth 5.1-5.20, 5.38-5.39
provision for 13.1-13.3
television programmes for 5.19-5.20, 22.21-22.22
Prescriptive Attitudes to English 11.16-11.17
Primary Adviser 16.3-16.6
Primary Education (1959) 11.50
Primary School (see also Infant School)
accommodation 13.18, 16.19
attitudes to English in 1.6, 1.8, 1.10, 13.4, 13.12, 25.9
book policy 9.9, 21.3, 21.6
cooperation with other schools Chapter 14, 15.1, 22.3
language and reading policy 13.14-13.15, 13.24
organisational aspects 13.4-13.17, 13.24, Table 25
provision of books for 9.6-9.9, 21.17-21.27, 25.19(i), 25.23, Tables 35 and 46
reprographic facilities in 22.3, 22.11
role of head in reading and language development 13.24, 21.9
staffing and class size 13.16-13.17, 13.19-13.21, 25.16(iii), Table 10
teacher with responsibility for books 21.3, 21.5
teacher with responsibility for reading and language 6.44, 13.13, 13.22-13.24, 17.20, 24.5, 24.14
use of audio-visual aids, radio and television Chapter 22, 25.19(ii), 25.23, Tables 36, 37 and 62
Probationary Year 16.8, 24.1-24.3
Professional Centres 23.1, 24.1-24.2, 24.17
Professional Tutor 23.1
Profile of Pupils' Attainment 14.5, 14.10-14.11
Programmes in Language in Infant Schools 5.24-5.29
Progress in Reading 1948-1964 2.11
Project Work 6.40, 8.13, 25.23(i), Tables 53, 95, 96 and 97
Projectors, Overhead and Filmstrip 22.10
Psychologists (see School Psychological Service)
Publishers 20.5
Publishers' Book Agency Scheme 7.5
Pupil Grouping
in the primary school 13.5, 13.8-13.10, 13.13 13.15, Table 25
in the secondary school 15.10-15.12, 21.17, 25.25(vi), Diagram 10
see also Note of dissent by Mr Stuart Froome
Pupil Mobility 17.12
Pupil-Teacher Ratio 5.43, 25.16(iii), 25.23(i), 25.24 (see also Staffing)
Radio
guidance for parents 7.2
publicity for adult literacy tuition 19.7, 19.12
use in schools 22.5, 22.13, 22.16, Tables 36, 37, 62 and 82
Radiovision 22.6
Rate Support Grant 21.20, 21.26
Readability 2.2, 7.32, 15.8, 17.19
Reading (see also Books, Literature, Standards)
Definition
anticipation and expectancies 6.27, 6.29-6.31, 6.33-6.38
comprehension skills 6.6, 6.39 6.41, 6.44, 8.14-8.18
eye movements and fixations 6.12, 6.28, 6.29, 6.32
flexible reading strategies 6.6, 6.42
the intermediate skills 6.6, 6.27 6.38, 8.1
'learning sets' 6.7, 6.28, 6.32, 6.33, 7.21
letter recognition 6.12-6.15
phoneme-grapheme relationships 6.16-6.26, 6.38, 7.22, 7.24, 7.27
the primary skills 6.6-6.26, 8.1
reversal tendencies 6.9, 6.28
sequence 6.27-6.38, 7.21
shape and orientation 6.7-6.15, 6.28, 7.9, 7.21
syntactic structures 6.32-6.34, 7.18, 7.21
visual and auditory discrimination 6.12-6.17, 7.9-7.10
word recognition 6.11, 6.12, 6.28, 7.13-7.16
Reading Readiness 7.1-7.11, 18.4
mental age and intelligence 7.7-7.8
parents' role 7.1 -7.7, 7.16
pre-reading activities 7.11-7.21, 18.4, 25.18(i)
sight and hearing 7.9-7.10, 7.14
Teaching of Reading (see also Diagnosis and Diagnostic Teaching)
alphabetic analysis 6.24, 25.18(i), 25.37, Tables 30 and 31
bibliographical skills 8.13
Breakthrough to Literacy 7.14, Tables 32 and 33
cloze procedure 6.37, 8.4
[page 605]
colour coding and diacritical marks 6.22, 7.25-7.26, 7.29, 25.18(ii), Tables 32 and 33
comprehension skills 6.39-6.44, 7.13, 8.14-8.18
context cues and prediction 6.26, 6.35-6.37, 7.22-7.24, 17.18
cooperative reading 7.31, 8.10
eclectic attitudes 7.20, 25.18(i)
flexible reading strategies 8.12, 8.18
in the USA 8.6-8.7, 8.14, 15.8
i.t.a. (initial teaching alphabet) 6.20, 6.22, 7.27-7.29, 14.2, 14.6, 25.28(ii), Tables 32 and 33
language experience approach 7.13-7.14, 7.21, 7.24
letter recognition 6.12-6.15, 25.18(i)
'linguistic' method 6.38, 7.25
'Look and Say' 6.2-6.3, 7.19-7.20, 7.22-7.23, 7.25, 25.18(i), Tables 30 and 31
meaning 6.35
morphemic structure 6.24, 6.38, 7.24
phonic methods 6.2-6.3, 6.17-6.26, 7.19-7.20, 7.22, 7.24, 7.25, 13.8, 22.6, Tables 30 and 31
reading for learning 6.43, 8.2, 8.9-8.10
reading schemes 7.16-7.25, 7.32, 14.6, 17.17, 25.18(ii)
reading 'workshops' and 'laboratories' 8.8, 8.14, Tables 32 and 33
recording by the pupil 6.40, 8.13, 8.19, 12.8
self-appraisal and development by the pupil 6.41, 8.19, 17.21
use of audio-visual aids and television 22.5-22.7, 22.10, 22.13-22.17, 22.22 22.23, Tables 36, 37, 62 and 82
vocabulary control 6.22, 6.25, 6.38, 25.18(ii)
School Policy and Organisation for Reading
continuity of approach between schools 7.28, 9.20, 14.2, 14.6
continuous development of skills through the middle and secondary years Chapter 8, 24.8
in the USA 8.6-8.7, 15.8
organisation of reading activities 7.23, 7.30-7.31, 15.8, 25.15, 25.18(iv), Tables 55 and 56
reading across the curriculum 6.44, 8.2, 8.9, 8.11-8.13, 8.15, 8.19, 12.7, 15.8
reading in vertically grouped classes 13.8-13.10, 25.8, 25.16(iv), 25.18(i), 25.37, Tables 6-9
resources and resource centres 9.25, 15.25, 21.9, 21.12, 21.15-21.16
role of the head 13.24
a school policy for reading 2.30, 8.9, 8.11, 13.24, 18.4, 18.15
support from Advisers 7.4, 16.9
teacher with responsibility for language and reading 6.44, 13.23-13.24, 17.20, 24.5, 24.14
Reading in Teacher Training 17.22-17.24, Chapter 23, Chapter 24
initial and in-service education 17.22-17.24, Chapter 23, Chapter 24
language/reading centres 23.22, 24.15-24.17
Reading Retardation Chapter 18 (see also Screening, Diagnosis, and Remedial Education)
and backwardness: definitions 18.2
'dyslexia' 18.5, 18.18
extent and causes 2.2, 18.4-18.9
specific reading retardation 18.5, 18.18
Reading Ability (1950) 2.1
Reading Age 2.2, 2.4, Note 3 to Chapter 2, 15.11, 17.29, 17.31-17.32, 18.2, 19.12
Reading Centres 16.8, 18.8, 23.22, 24.5, 24.15-24.17
Reading Standards (see Standards of Reading)
Reading Standards In Northern Ireland 2.15, 2.16, 2.33
The Reading Standards Of Children In Wales 2.12, 2.15, 2.17-2.18
Reading University
Centre for the Teaching of Reading 24.15
research into adult literacy provision 19.5, 19.8
Received Pronunciation 10.5
Recording
collections of written work 14.5, 14.10-14.11, Table 9
LEA record cards 14.8
of books read by pupils 9.5, 13.10, 13.20, 14.11, 25.20, Table 9
of specific difficulties in reading 13.10, 14.4, 14.10, 17.6, 17.11, 17.20-17.21, Table 9
of young children's language development 14.5, 17.6
transmission of records 14.4-14.5, 14.8-14.11, 17.11, 25.20
Reid J 7.6
Remedial Education (see also Reading Retardation)
conditions for success 18, 12, 18.14, 18.16
criticisms of 18.9-18.11, 19.16
organisation of within school 18.4, 18.10-18.18, 25.21, 25.30, Tables 40, 41 and 42
provision of 17J5, 18.10
reading centres and clinics 18.18
Remedial Education Service 17.24, 17.36
Reprographic Facilities
[page 606]
in schools 15.20, 21.15, 21.16, 22.3. 22.11
in teachers' centres 22.11
Research (see Note On Research in Summary Of Conclusions And Recommendations)
in educational broadcasting 5.19-5.20, 22.16, 22.19-22.20
in language development 5.3, 5.5-5.8, 5.16, 5.17-5.18, 5.27-5.28, 11.23
in listening 10.19-10.20
in oral language 10.4, 10.28-10.30
in preparation for monitoring procedure 3.24
in reading 7.7-7.29
in spelling 11.46, 11.48
into methods and materials for adult literacy tuition 19.15
into reading problems of children of West Indian origin 20.7
into teachers' understanding of West Indian dialect 20.7
in writing 11.2, 11.6, 11.9, 11.18
Resources and Resource Centres 9.25, 15.20, 15.25, 21.9, 21.12, 21.15-21.16
Restricted Code 5.6, 5.27
'Right To Read' Effort in USA 2.3, Note 6 to Chapter 19
Russell Report (Adult Education: A Plan For Development) 19.5
Sampson G 9.1, 9.13
Schonell FJ 11.41, 11.45, 17.16, 25.20, 25.29
Schools Broadcasting Council 22.4
School Design 5.41, 13.18
School Handicap Score (SHS) 2.25
School Health Service 17.1, 17.8, 17.10, 17.11, 17.23, 18.17
School Library (see Library)
School Library Association 21.5, 21.13, Tables 29 and 74
School Library Service 9.6, 16.9, 21.7-21.11, 25.19, 25.28(ii), Table 35
School Psychological Service 16.9, 17.11-17.12, 17.23-17.24, 17.26, 17.34-17.36, 18.6
Schools (see Nursery, Infant, Primary, Middle Years, Secondary)
Schools Council Projects and Reports 5.27, 5.28, 7.14, 7.27-7.28, 10.16-10.18, 11.6, 11.27-11.29, 12.10, 20.5-20.8, 25.18
Scottish Council for Research in Education 11.46
Screening 14.4, 16.9, 17.1-17.14, 17.34-17.36
Secondary School Chapter 15 (see also English Department and English Teaching)
accommodation 15.21-15.26, 16.9, 25.28(ii), Table 12
books and libraries 9.6-9.9, 15.11, 21.12-21.13, 21.21-21.23, Tables 35, 46 and 81, Diagram 12
cooperation with primary and middle schools 14.7-14.16, 15.1, 22.23
cross-age tutoring 14.15
organisation of remedial teaching 18.4, 18.10, 18.11, 18.15-18.17, 25.30, Tables 40, 41 and 86-89
policy for extending reading ability 8.1-8.20, 12.7-12.8, 15.8
provision for slow learners 18.15, 18.17
pupil-grouping 15.10-15.12, 21.17, Diagram 10
resource centres 21.15-21.16
study of television 22.14
study of young children's language development by older pupils 5.11
supply and qualifications of teachers of English 1.11, 2.30, 15.2, 15.1315.14, 15.18-15.19, 25.26(ii), 25.27, Tables 11, 72, 77 and 78
technological aids Chapter 22, 25.28(iii), Table 82
timetabling 1.11, 15.2, 15.15-15.16, Diagram 11
Secondary Schools Examination Council 11.35
Sesame Street 22.22-22.23
'Setting' in Secondary Schools 15.10, 15.15-15.16, Diagram 10
Shaw Bernard (quoted) 11.16
Sheldon Committee (Sub-Committee of the Standing Medical Advisory Committee of the Central Health Services Council) 17.11
Shelley Percy Bysshe (quoted) 9.5
Sinclair JM 10.3, 10.11
Skimming and Scanning in Reading 8.1, 8.12, 8.15, 8.19
'Slow Learners' 18.2, 18.15, 18.17
Slow Learners In Secondary Schools (Education Survey No. 15) 25.30
Small Schools 21.2, 21.24-21.25, 22.12, 24.5, 25.23
Social and Economic Influences
on language development 5.4-5.9, 5.35
on reading attainment 2.22-2.25, 13.20-13.21, 17.4, 18.5, 18.8, 18.19
Social Service Departments 18.9
information for adult illiterates 19.7
Social Trends No. 4 2.5-2.6
Social Workers 17.8, 17.23
'Specific Reading Retardation' 18.5
'Spectator' Language 11.6
Speech (see Language)
Speech Defects 17.4, 17.10
Speech Therapists 5.14, 17.8
Spelling 11.12-11.14, 11.41-11.49
collective responsibility in the secondary school 11.13
effects of the English spelling system on learning to read 6.18-6.22,
[page 607]
7.26-7.29
extent in schools 11.49, 25.22, 25.31, Tables 58, 96 and 97
policy for improving spelling 11.12-11.14, 11.47-11.48
reform of the English spelling system 6.21, 7.25
the rules of spelling 6.19, 11.12
the use of spelling lists 11.44-11.47
Staffing
in teacher training 23.3, 23.9, 23.21, 24.14
nursery and infant schools 5.32, 5.33, 5.42-5.43, 7.16, 13.16-13.17, 13.19, 25.17(i)
primary and middle schools 13.16-13.17, 13.19-13.23, 21.3, 25.16(iii), 25.17(i), Tables 26, 60 and 61
secondary schools 1.11, 10.40, 15.2, 15.8, 15.9, 15.13-15.14, 15.18-15.20, 18.17, 21.12-21.13, 25.24, 25.26(i-ii)
Standard Error Note 14 to Chapter 2
Standards of English (see also Monitoring)
comparisons with the past 1.1-1.3, 1.8, 1.10, Note of Dissent by Mr Stuart Froome
effects of television 2.8-2.9, 5.20
in colleges of education 1.3, 23.23
in further and higher education 1.3
in the USA 1.5
principles for development 1.10-1.11
relation to class size 13.17
Standards of Reading Chapter 2 (see also Monitoring)
adult illiteracy and semi-literacy 2.1-2.4, 19.5
comparisons with other countries 2.3
comparisons with the past 2.4, 2.11, 2.19, 2.26-2.27, 2.29, Note of Dissent by Mr Stuart Froome
effects of teaching methods 1.8, 2.26
effects of television 2.5-2.9
evidence of local surveys 2.21-2.23, 2.26-2.28, 13.20, 17.26-17.33, 18.4, 18.7, 20.4, Tables 15, 16 and 17
evidence of national surveys 2.10-2.23, 2.27, 2.29, 2.31-2.34, 3.1, Tables 1-4, Diagrams 5-8
in the USA 2.2, 2.3, 8.5
of children of overseas parentage 20.4-20.5
relation to class size 13.17
social and economic influences 2.22-2.25, 13.20-13.21
Start KB and Wells BK 2.13, 2.17
Streaming 15.10; Note of Dissent by Mr Stuart Froome, Table 10
Structural Grammar 11.26
Survey Of In-Service Training For Teachers 24.7, 24.8
Surveys of Reading Attainment (see Standards of Reading)
Survival Literacy Study (USA) 2.2
Swansea Project (Research and Development Project in Compensatory Education) 5.27
Syntactic Structures of Reading Material 6.34, 7.18, 7.21
Talk (see also Language)
in the nursery and infant school 4.10, 5.21-5.36
in the primary and secondary school 4.10, 10.1-10.24, Table 50, Note of Dissent by Mr Stuart Froome
Tape Recorders 5.13, 5.14, 7.3, 10.14, 10.22-10.23, 22.5-22.6, 22.13, 25.28(iii), Tables 36, 37, 62 and 82
Teachers (see also Staffing, Nursery, Infant, Primary and Secondary)
above-scale posts 13.22, 15.19, 21.5, 25.17(i), 25.19(i), 25.21(iv), Table26
consultation among teachers 13.12, 13.24, 14.3, 14.7, 15.3, 15.5, 15.11, 15.13, 15.14, 15.30, 24.5-24.6
home liaison teachers 5.42, 13.19, 20.16
importance of the teacher in reading achievement 7.20, 7.30-7.32, 13.24, 18.14
part-time teachers 15.13, 18.13, Table 26
peripatetic teachers 17.36, 18.13, 25.16(iii), Table 61
supply and qualifications of secondary school English teachers 1.11, 2.30, 15.13-15.14, 15.18-15.19, Tables 11, 72, 77 and 78
teacher-librarians in secondary schools 21.12-21.14
teacher-pupil ratios 5.43, 13.16-13.17, 13.19-13.21, 15.19, 25.16(iii)
teachers in their induction year 24.1-24.3, 24.17
teachers of English as a second language 20.9-20.12
teacher with responsibility for books 21.3, 21.5
teacher with responsibility for language and reading 6.44, 13.13, 13.22-13.24, 17.20, 24.5, 24.14
turnover of teachers 13.21, 15.13, 17.12, 17.13, 18.9, 20.9
Teachers' Centres 7.3, 10.22, 16.8, 16.9, 21.4, 21.5, 21.9, 22.3, 22.11, 24.15-24.16, 25.17(ii), 25.26(iii), Table 27
Teacher Training Chapters 23 and 24 (see also In-Service Education)
accommodation and resources 23.22, 24.15
and pupils of families of overseas origin 20.6, 20.15
continuity between initial and in-service education 23.24, 24.1
[page 608]
existing provision for language and reading 1.11, 23.2-23.7
language requirements and the Diploma in Higher Education 23.19-23.20
language requirements and the post-graduate certificate of education 23.13-23.18
practical experience with children 23.3, 23.8-23.9
recommended language course for all intending teachers 23.10-23.12, 23.25-23.26
staffing implications 23.21, 24.13, 24.14
students' standards of English 23.23
teacher-tutor appointments 23.9
the induction year 24.1-24.3
use of audio-visual aids and educational broadcasting 22.12, 22.14
Teaching Machines 22.7
Technological Aids (see also Film, Tape Recorders, Teaching Machines, Projectors, Video tape Recorders, Radio, Television, Educational Broadcasting)
and oral language 10.12, 10.23-10.24
and teacher training 22.12, 22.14
and the teaching of reading 22.5-22.7, 22.10, 22.13-22.17, 22.22-22.23
availability in schools 10.24, 15.24, 2-1.16, 22.5-22.8, 22.11, 22.12-22.13, 22.15, 22.17, 25.19(ii), 25.23, 25.28(iii), Tables 36, 37, 62 and 82
in adult literacy tuition 19.15
in advice on young children's language in antenatal clinics 5.14
in the language training of aides 5.33
in work on young children's language with secondary school pupils 5.13
maintenance and support 15.20, 22.3, 22.6
principles for their use 22.1, 22.12
Television (see also Educational Broadcasting)
and teacher training 22.4
children's viewing habits and effect on reading 2.5-2.7
effect on children's use of language 2.8-2.9, 5.20
general output television, use in schools 22.14
LEA programmes 22.3
programmes for pre-school children and their parents 5.19-5.20, 7.2, 22.21-22.22
publicity for adult literacy tuition 19.7, 19.12
to generate interest in literacy 22.24
Tests (see Assessment, Diagnosis, Monitoring, Standards, and Reading)
Thematic Work 9.6, 9.16-9.19, 15.4, 22.9, Tables 53, 96 and 97
Timetabling of English 1.11, 15.2, 15.15-15.16, 25.25(vii), Tables 66, 96 and 97
Tizard Report (Children With Specific Reading Difficulties) 17.5, 18.18
Tolkien JRR 9.10
Tough Joan 5.8, 5.28
Townsend JR 20.9, 20.17
'Transactional' Writing 11.6-11.7
Transformational Grammar 11.26
The Trend Of Reading Standards 2.4, 2.10-2.23, 2.27, 2.29, 25.15
Tripod Curriculum (USA) 1.5, 1.7
UNESCO 2.2
United Kingdom Reading Association Tables 29 and 74
United States of America
adult literacy tuition 19.9, Note 6 to Chapter 19
experiments on listening 10.21
home visiting 5.16
language programmes for young children 5.24-5.26
production of Sesame Street and The Electric Company 22.22-22.23
'Right to Read' Effort 2.3, Note 6 to Chapter 19
standards of literacy 2.2-2.3, 8.5
teaching of English 1.5, 1.7, 9.2, 11.26
teaching of reading 8.6-8.7, 8.14, 15.8
visit by American educationists to English secondary schools 11.21
University Departments of Education 23.9, 23.14-23.18
Vertical Grouping 13.5, 13.8, 13.10, 13.12, 21.6, 25.8, 25.16(iv), 25.18(i), 25.18(iv), 25.37
VHF [FM] Radio Cassette Recorder 22.13
Video Tape Recorders 5.13, 5.14, 5.33, 15.24, 22.17, 22.22, 23.9, 25.28
Visual Defects 7.9, 17.14
Visual Discrimination 6.12, 6.17, 7.9, 18.5
Vocabulary Control in the Teaching of Reading 6.25, 6.38, 7.19, 25.18(ii)
Vocabulary, Extension of 5.2-5.3, 7.13-7.16, 11.15, 11.19, 11.21, 11.24
Vygotsky LS 4.5, 7.6
Watts-Vernon Test 2.13-2.20, 2.22, 2.27, 2.29, 2.32-2.33, 3.1
West Indian Dialect and Culture 20.6 20.8, 20.12
West Midlands Study of Reading Attainment 2.26-2.27
West Riding EPA project 5.17-5.18, 20.6-20.8
Whitehead F 2.6, 9.4, 9.9, 9.20
Whitford Committee on Copyright and Designs 21.15, 22.18
[page 609]
Wiseman S 18.8
'Word Banks' 7.15, 7.23
Word Recognition 6.11, 6.12, 6.28, 7.13-7.16
Writing 11.2-11.14, 25.21 (vi), 25.31
classifications of writing 11.6
correction and marking 11.10-11.12
'creative' writing 11.3-11.5
handwriting 11.50-11.55, Table 59
monitoring of standards 3.9-3.12
teacher's role in developing pupils' writing 11.5-11.10
the writer's'audience' 11.9, 11.12
writing in the early stages 5.21-5.23
'Writers In Schools' Scheme 9.25
Youth Service
information for adult illiterates 19.7

